In this case f must have the form
for some vector c
n
Suppose f is a function of one variable.
So the linear function L is given by f '(a)(x a). This tells that the linear approximation (tangent line) f(a) + f '(a)(x a) estimates f(x) for values of x near a. This tangent line is given by
Consider the vector n = < f '(a), 1>. For the function f(x) = x2 at the point a = 1. We have f '(x) = 2x so the tangent line is given by 2(x 1) (y 1) = 0 or y = 2x 1 and the vector n is < 2, -1 >. Below is the graph of y = x2, the tangent line, and the vector n drawn at the point (1, 1).

It is seen that the vector n is orthogonal to the tangent line.
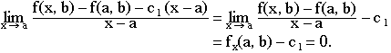
Suppose f is a function of two variables.
Taking L(x a, y b) = c1 (x a) + c2 (y b) and y = b we have, assuming x > a, we have

Thus c1 = fx(a, b). In the same way it is shown that c2 = fy(a, b). This tells us that the linear approximation (tangent plane) f(a, b) + fx(a, b)(x a) + fy(a, b) (y b) estimates f(x, y) for values of (x, y) near (a, b). The tangent line is given by z = f(a, b) + fx(a, b)(x a) + fy (a, b)(y b), or in the standard form:
This shows that the normal vector to the tangent plane is given by
Consider the function
at the point (1/2, 1). We have
fx(x, y) = -x and fy(x, y) = -y2. Thus
the normal vector to the tangent plane is n = < 1/2, 1, 1 > and
the equation is 1/2(x 1) + (y 1) + (z 101/24) = 0 or
The graph of this plane and the normal vector is shown below.
